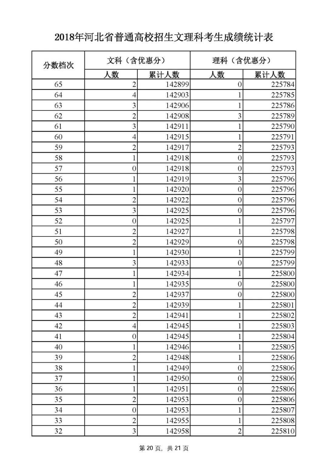
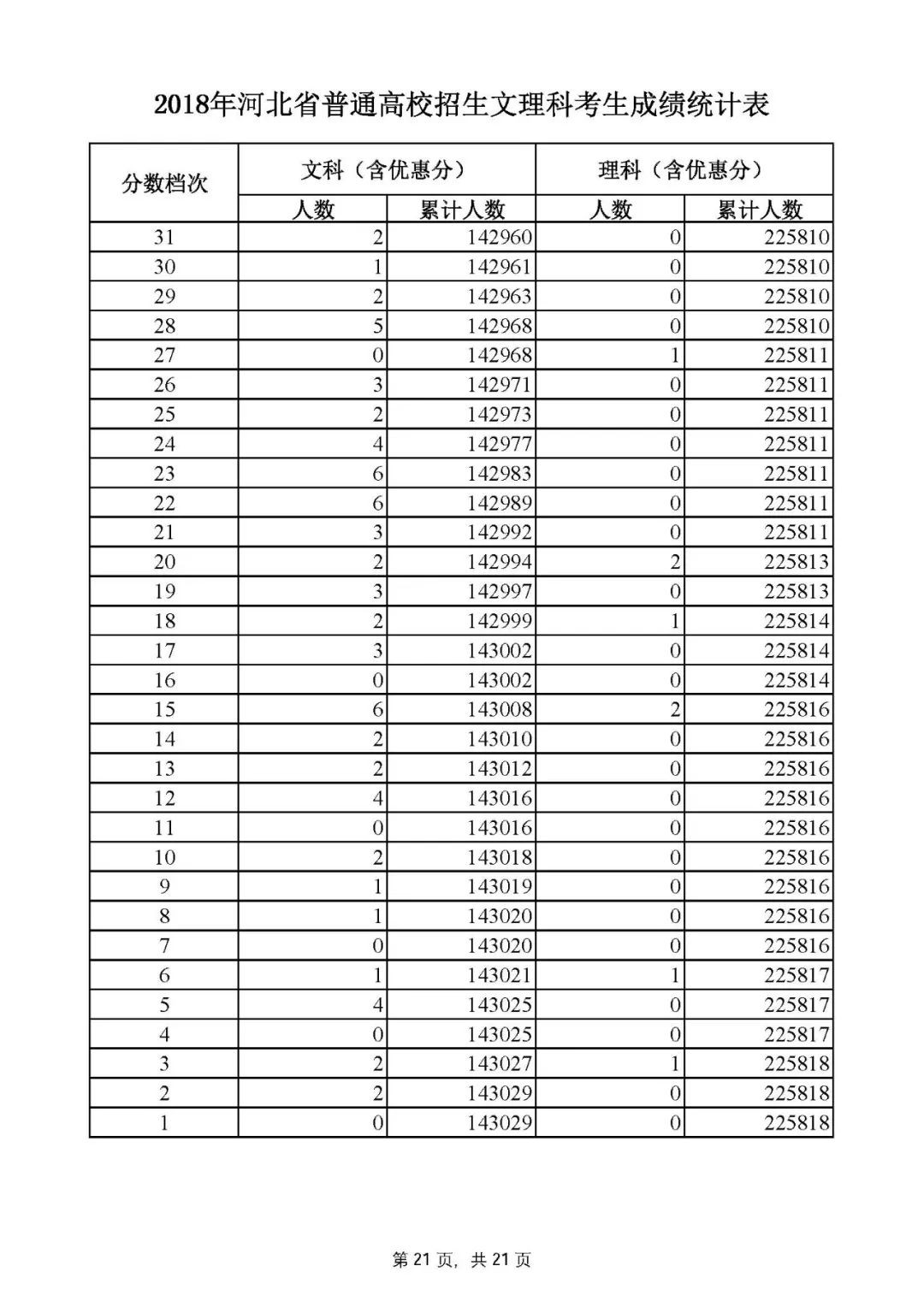
2018河北高考一分一档表出炉!快收藏
点击上方“河北经济日报”加关注
23日0点,河北高考成绩可以查询了!相信考生现在都已经知道自己的分数了!全省考生们考的如何?一分一档表新鲜出炉!快来看看吧 !
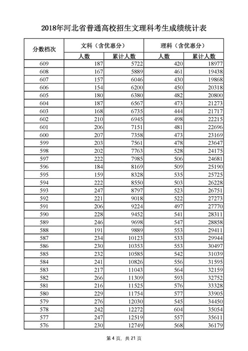
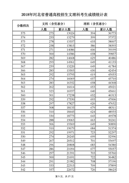
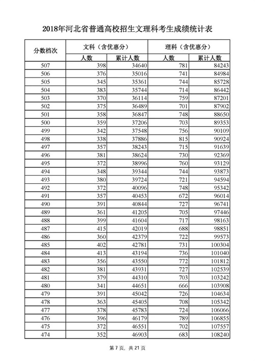
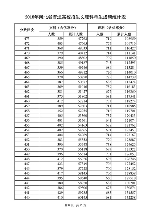
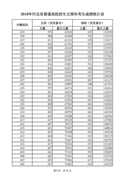
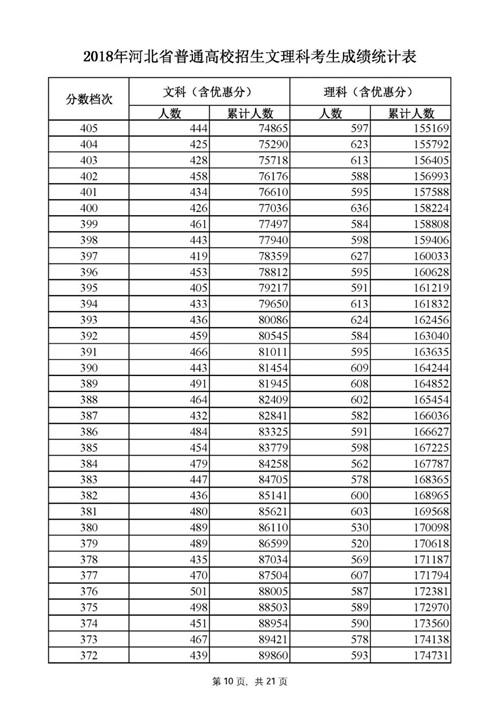
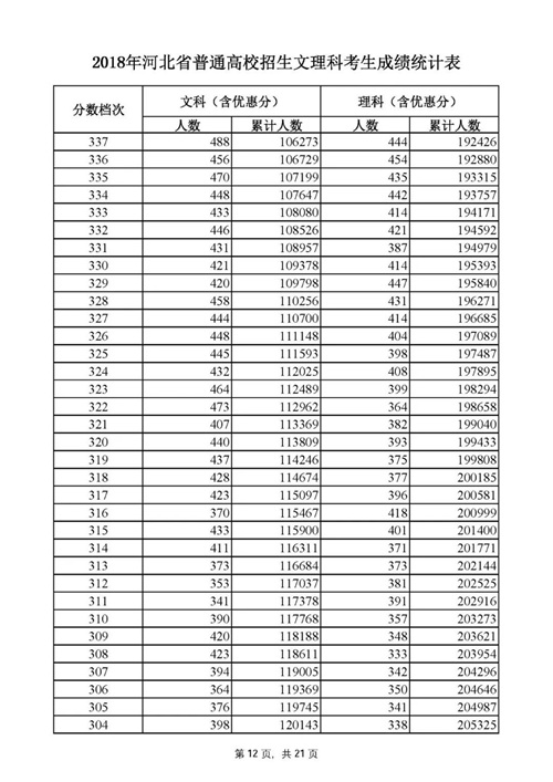
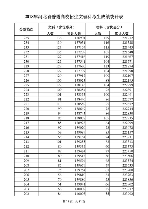
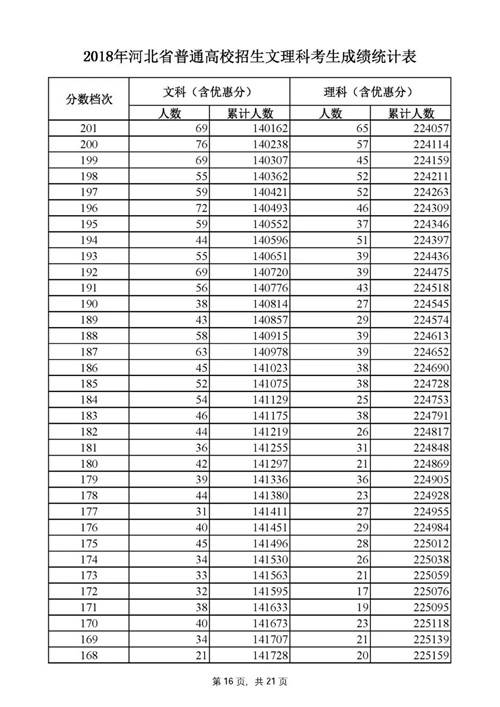
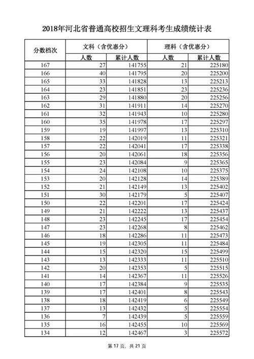
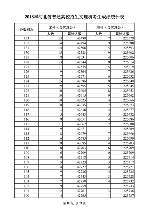
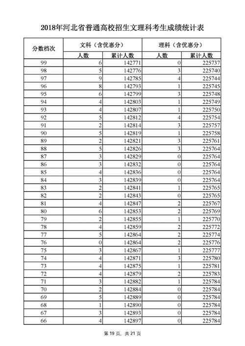
2018年河北普通高校招生文理科
一分一档表
(点击看大图更清楚哦)





















高考录取分数线
从河北省教育考试院获悉,经河北省招生委员会全体会议研究,确定了今年河北省普通高校招生各批各类录取控制分数线。其中,文史类本科一批为559分;理工类本科一批为511分。
各批各类录取控制分数线如下:
一、文史、理工类
科类
本科一批
本科二批
专科批
文史
559
441
200
理工
511
358
200
高水平运动队考生高考文化成绩控制分数线:文史441分,理工358分;对于少数体育专项测试成绩特别突出的高水平运动队考生,文化成绩控制分数线:文史286分,理工232分。
二、艺术统考类
科类
本科提前批A、B
本科二批
(文化/专业)
专科提前批
(文化/专业)
声乐统考
266/130
140/115
器乐统考
266/115
140/110
舞蹈统考
266/120
140/100
美术统考
266/180
140/160
三、艺术校考类
⑴按教育部规定,部分独立设置的艺术院校和参照执行的院校(或专业)艺术类本科专业,文化、专业录取控制线由学校自行确定,我省统考涉及到的专业,还需要我省相应类别专业统考合格。其艺术类专科专业:我省统考涉及的,文化、专业录取控制线按我省相应统考类执行;我省统考未涉及的, 文化控制线为140分,专业控制线由院校确定。
⑵其他院校
科类
本科提前批A
(文化/专业)
本科二批
(文化/专业)
专科提前批
(文化/专业)
声乐校考
266/115
————
————
器乐校考
266/110
————
————
舞蹈校考
266/100
————
————
美术校考
266/180
————
————
统考未涉及的校考
266/—
266/—
140/—
注:以上专业分为我省相应科类专业统考合格线
四、体育类
科类
本科提前批A、B
本科二批
(文化/专业)
专科提前批
(文化/专业)
体育
文
275/275
140/240
理
210/275
140/240

为了帮助考生顺利填报志愿,减少不必要的失误,河北省教育考试院发布《2018年河北省普通高考志愿填报须知》,供考生参考。
《须知》详情请点击本文文末“阅读原文”查看。

标签:
153
站桩三年不出功?明白了相对VS绝对,别让大松大柔害了你! 最近收到上百位学员的站桩照片,看着屏幕上那些有气无力的站桩姿势,我握着手机的手都在发抖。这些照片里的站桩者,...
84
学会掼蛋,新手必备的攻略指南 你听说过掼蛋吗?这是一种源自中国江苏省淮安市的扑克牌游戏,特别流行。掼蛋的规则有点复杂,但一旦你掌握了它,就会发现它真的很有趣。本文将...
154
我同事在2017年就已经是副科实职,现在还是四级主任科员合理吗? 没有什么合理不合理,只要存在就是合理的。从2017年开始就已经是副科实职,这说明这个同事的综合素质、工作能力...
110
泰山旅游必须要知道的 泰山是中国著名的旅游景点之一,被誉为五岳之首,位于山东省济南市境内。作为中国的文化名山,泰山拥有丰富的历史和文化底蕴,吸引了无数游客前来朝拜和...
86
盘点五部高人气的丧尸片,你更喜欢哪一部 最近两年,有关丧尸类的电影渐渐不再那样风靡了,而之前的那些丧尸片估计很多影迷都已经一部部追完了,不过对于另外一些观众来说,丧...
104
二本和一本就业时的差距大吗 嗨,亲爱的朋友们,你们好!今天咱们来聊聊一个老生常谈的话题——二本和一本,在就业时的差距到底有多大? 说起这个问题,心里总是有点五味杂陈...
90
春晚领舞朱洁静,美人在骨不在皮 提到朱洁静这个名字,想必很多人不太熟悉。还记得2020年央视春晚舞台上一群穿着旗袍,挥着团扇的姑娘的优美舞姿吗?在那首《晨光曲》的悦耳旋...
140
传说中的挪威海怪真的存在吗? 在北欧古老的民间神话传说中,曾记载过一种令人毛骨悚然的可怕海怪,北海巨妖。这种生物常出没于挪威和冰岛附近,所以又被称为挪威海怪。目前普...
179
炸酱面的酱到底怎么做才好吃?详细做法与配方全给你,做法零失败 炸酱面的酱到底怎么做才好吃?详细做法与配方全给你,做法零失败。哈喽,大家好,我是大厨江一舟。今天又到了...
173
用丝袜打窝诱鱼就是好,专钓无鳞鱼,简单实用 “女人用丝袜征服了男人,男人用丝袜征服了银行”,这句网络段子想必大家都听说过。虽然丝袜能征服男人和银行,不过我今天用丝袜...
90
炎亚纶愤怒发声:与汪东城恋情疑云,曝绝不爱“羞辱性取向”之人 在娱乐圈的璀璨灯光下,明星的私生活常常被放大成公众关注的焦点。最近,炎亚纶与汪东城之间的纷争再次成为舆...
133
15年过去,曾揭露“三鹿奶粉”的上海记者简光洲,如今怎么样了? 简光洲望着手中的报告,心中万般挣扎。作为一名记者,他有责任将真相呈现给公众,但这次的报道涉及的角色太大...
181
周迅曾是他的人体模特:潘鸿海油画艺术欣赏 周迅曾是他的人体模特:潘鸿海油画艺术欣赏 文/骚客赏画记 潘鸿海先生早年为影视明星周迅绘制了系列肖像,以表现江南元素为主旨,让...
117
中国武装直升机的特色发展之路,独有的反直升机导弹令同行胆寒 【军武次位面】:皮岛总兵 说到中国的武装直升机,总逃不开一个似乎是伪命题的词汇,这就是歼击直升机。该词汇...
124
张子萱前夫杨一柳发文疑出狱曾扬言报复陈赫 揭杨一柳坐牢内幕 张子萱前夫杨一柳发文疑出狱曾扬言报复陈赫 揭杨一柳坐牢内幕 今天上午,张子萱前夫杨一柳突然更新微博,发文称,...
91
天津排名前10的小学,70%集中和平区,家长:盼教育均衡发展 天津排名前10的小学,70%集中和平区,家长:盼教育均衡发展! 说到天津,人们很容易就想到狗不理包子,天津大麻花。其...
176
走进县城看发展:河北省承德围场满族蒙古族自治县 #头条创作挑战赛# 走进县城看发展: 今日分享:河北省承德围场满族蒙古族自治县 围场县简介 围场满族蒙古族自治县,隶属于河北...
187
直18A进行三大改进,登上解放军两栖船坞登陆舰,对岸、岛突击 近期,某杂志彩页上刊登了“直18A重型突击运输直升机海军型”的有关情况,表示直18A发展自民用型AC313,都是直8的重大...
155
盘点华为公认最佳3款手机,用三五年不成问题,最后一款实至名归 巅峰时期的华为到底有多强大?回顾华为的辉煌历程,2019年无疑是其巅峰之年。数据显示,华为及其子品牌荣耀共同...
123
明末名将祖大寿 后世关于祖大寿的评价其实有很多争议的,我们试图从他的人生经历来探讨他的行为,不能够单纯地给一个结论来概括他波澜壮阔的一生!大乱之世,无论帝王将相,还...